올해 상반기 개인적 목표 중 하나는
주식시장과 종목과 종목 간 상관관계, 투자자와 종목 간 상관관계, 종목과 다른 변수들과의 다양한 상관관계 분석과 거래량의 변화 또는 미결제약정의 변화에 따른 선물이나 옵션의 가격변화등 다양한 변수들을 가지고 회귀분석을 테스트해보는 것이다.
이를 위해 베타계수와 상관계수에 대한 사전지식이 필요하여 정리해 보았다.

베타 (β) 계수 와 상관계수 정의
1. 베타계수
주식시장에서 사용하는 베타값(베타계수)은 시장 변동에 개별 주식종목 각각이 어느 정도 영향을 받는지 그 정도를 알려주는 통계학적 용어로 사용되며,
시장의 방향과 개별 주식의 방향들을 데이터화하여 회귀 분석을 통한 선의 기울기 라고 할 수 있다
예를 들어 아래표처럼 어떤 종목의 52주 베타 값이 0.98이라는 의미는 시장 변동률이 100일 때 이 종목은 98로 해석된다.
투자종목들 포트폴리오를 구성하기 위하여 베타계수는 좋은 변수가 될 것 같다.

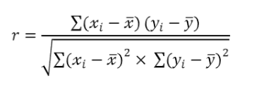
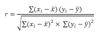
2. 상관계수
상관계수는 공분산을 각 표준편차의 곱으로 나눈 값이다.
공분산을 통해 두 개의 변수가 선형 상관성이 있는지 알 수 있지만
상관의 정도가 같더라도 값의 단위가 다른 경우는 다른 결과가 나오기 때문에
같은 기준으로 비교하기 위하여 표준편차로 나누어주는데 이 과정을 통해 나오는 결과가 바로 상관계수!
상관관계는 두 변수 간에 선형 관계의 정도를 수량화하는 측도로서 직선적인 경향으로 연관성을 확인한다.
즉 두 변수의 산점도가 직선에 가까울수록 1에 가깝고 흩어짐이 클수록 0에 가까운 모양을 보인다.
베타 (β) 계수와 상관계수 해석
| 베타계수 (β) | 상관계수 (r) |
![]() 0 <= β |
![]() - 1 < r < 1 |
![]() |
![]() |
<참고>
회귀분석은 하나의 변수가 나머지 다른 변수들과의 선형적 관계를 갖는가의 여부를 분석하는 방법
상관분석은 하나의 변수와 다른 변수와의 어떤 관련성을 갖고 변화하는가를 분석하는 방법으로서 변수들간의 상호관계 정도를 분석하는 통계적 기법
'데이터 분석 환경' 카테고리의 다른 글
| CNN 분석에서 합성곱 Concolution 과 Feature Map ? (0) | 2023.04.19 |
|---|---|
| 선형 회귀분석, 로지스틱 회귀분석, 시계열분석 이해하기 (0) | 2023.04.12 |
| 파이썬 데이터프레임 Dataframe Pivot 결과 plotly로 차트 그리기 (0) | 2023.04.09 |
| 데이터 처리를 위한 파이썬 Pandas 와 Numpy 기본 이해하기 (0) | 2023.04.07 |




댓글