오늘 갑자기 선물옵션을 투자할 때 나의 투자금은 얼마가 적정할까?라는 의문이 들었다.
현재 너무 소심하게 적은 금액으로 투자하다 보니 수익이 그리 크지 않아 고민하던 차에
켈리의 법칙에 대하여 알게 되었다.
켈리의 법칙 ( Kelly formula ) 이란?
켈리의 법칙 ( Kelly criterion or Kelly formula )을 간단하게 정리하면
장기적 투자에서 나의 자금중 얼마를 투자하는 것이 적정한가? 에 대한 답을 얻기 위한 공식이다.
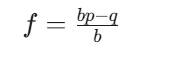
![]() |
f: 최적의 베팅 비율 (자산의 몇 퍼센트를 베팅할 것인가) b: 승리 시 얻게 되는 배당률 (베팅금액 대비 순수익의 비율) p: 승리할 확률 q: 패배 확률 (q=1−p) |
많은 사람들이 이 결과값은 20% 라고 알고 있다.
하지만 이 20% 라는 값에는 이 값에 대한 전제를 잘 이해해야 한다.
이것은 승리할 확율이 60% 이고 순수익의 비율이 100% 인경우에 나오는 결과값이다.
이것은 만약 수익률이 내 원금만큼 안 나온 다면 적용할 수 있는 수치가 아닌 것이다.
그리고 승리할 확률을 알아야 나오는 수이다.
그래서 난 내가 투자하려고 하는 옵션이라는 상품의 수익날 확률과 평균수익률을 먼저 알아야 하는 숙제를 떠안았다.
일반적으로 알려져 있는 투자금 배분은 다음과 같이 알려져 있다

이것만 보더라도
한 번에 올인하는 것은 굉장한 도박이고
수익을 얻기 위해서는 인내의 시간과 한순간의 욕심을 다스려야 하는 심법이 얼마나 중요한지 알 수 있다.
KOSPI200 지수옵션은 켈리의 법칙 적용이 가능한 투자인가?
그래서 오늘
많은 투자자가 좋아하는 이평선 정배열 매수방식을 적용하여
수익률과 수익값에 대한 백테스트를 진행해 봤다
대상은 : 2025년 5월 물 중 중요행사가 82개 종목 지수옵션 (콜옵션, 풋옵션 )

결과는 수익은 91, 승률은 68% 하지만 켈리 법칙을 적용하기 위해서는 수익반환율(배당률) 이 너무 낮다.

아 실망스럽다.
승률 68%, 평균수익률이 23%이지만 켈리방정식을 적용해서 투자배분하기에는 수익 배당률이 너무 낮다.
이번에 적용한 매매방식으로 켈리의 법칙을 적용하려면
지금보다 더 승률을 높이던지, 순수이익률(배당수익률)을 높이는 보완을 해야한다
하긴 이번 적용한 매매방식은 돈 많은 기관이나 외국인이 아닌 개미가 좋아하는 콜매수, 풋매수 방식을 적용했으니
역시 위험한 옵션투자.
이번 백테스트 결론은
켈리의 법칙을 적용하기 위해서는 단순한 이동평균선 매수법이 아닌 다른 더 보완된 매매방식을 찾아내야 한다.
만약 위의 한 번의 백테스팅 결과값을 근거로 42% 배당률을 적용하고 켈리 방정식을 적용하려고 한다면
승률 80% 이상 되는 매매방식을 찾아야 해볼만한 투자인 것이다.
| 20% 투자하려면 | 10% 투자하려면 |
![]() |
![]() |
켈리법칙의 시사점
켈리의 법칙은
이길 때 돈을 얼마나 벌어야 하는가, 얼마나 자주 이길 때 이 투자를 해야 하는가
에 대한 현실적인 기준으로 활용해도 괜찮을 것 같다.
수익률 b가 낮거나 승률 p가 낮으면, 켈리 비율은 매우 낮거나 심지어 음수가 나올 수 있으며,
이는 해당 투자가 장기적으로 적합하지 않은 투자임을 의미할 수도 있기에
최소한 켈리법칙을 만족시킬 수 있는 자기만의 매매원칙을 갖는 것이 매우 중요하다

'금융데이터 수집' 카테고리의 다른 글
| AI 도움 받아 주식.선물옵션 동우회 유튜브 드디어 Open !! 🎉✌ (2) | 2025.06.10 |
|---|---|
| 나는 터틀 트레이딩 매매로 수익을 낼 수 있는 투자자인가? (5) | 2025.06.02 |
| 선물.옵션 너랑 친해지고 싶어~ (3) | 2025.05.19 |
| 국내지수옵션 가격과 거래량 상관관계 테스트 1차 (1) | 2025.04.25 |



댓글